Inception of GMVS and program profile


Gramin Mahila Vikas Sanstha (GMVS) Latur was founded in 1996 by a group of local women from Deoni village of Latur district with Ms. Kushavarta Bele as the leading person. Coming from backward community Ms. Bele was self-inspired woman wanted to do something for the fellow community people who were victims of various forms of violence at domestic and community level. Marathwada region and her district Latur was known as masculine society where women from all sections of society used to face gender discrimination in all walks of life. Despite facing opposition from home and local leadership she started organising women and raising voice against violence against women. After gaining some experience of working in other social organisations she formed GMVS and started organising women to raise their issues and struggle for rights.

Since inception, GMVS has worked on awareness and organisation of women around their rights, formation of village level and area level groups (federations), gender justice, addressing issues of violence at domestic and community level and socio-legal counselling services, health awareness (especially on HIV/AIDS issues), trafficking amongst women and girls, promotion of natural farming practices, facilitating setting up of individual and group income generating activities, linkages building, enhancing women’s participation in local self-governing bodies and decision making and mobilisation of government development and empowerment schemes in favour of women. GMVS is a part of number of networks operational for rights of women and contributes in building micro-macro linkages.


Vision, Mission & Objective

Vision

A gender just society where women stand at their own and participate

Read More

Mission

To address issues of gender discrimination experienced by women through

Read More

Objective

Women’s socio-economic development with special reference to training in

Read More


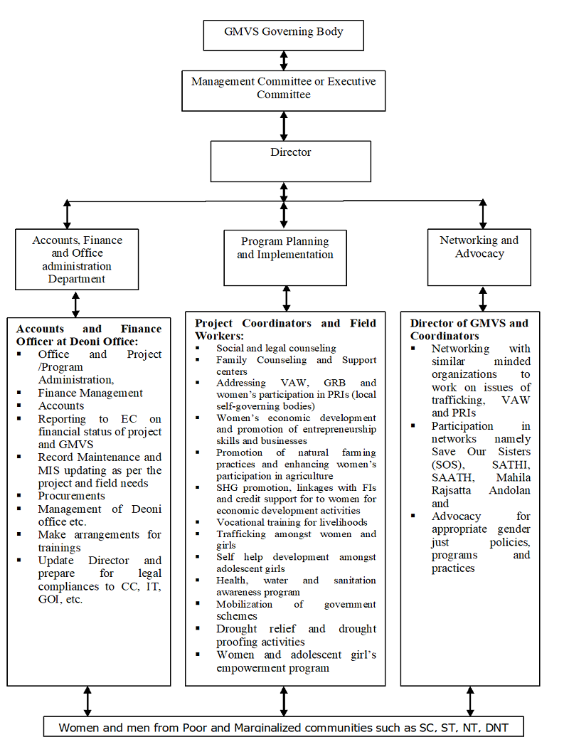
Organisation Structures

GMVS needs to comply with the statutory requirements of all the legal entities it is registered under.The trustees or Executive Committee Members (EC) are legally responsible for the activities of the organisation and ultimately for the overall management of GMVS. The Management Committee / Executive Committee ensure that there are adequate financial procedures and safeguards to protect the stakeholders of GMVS.

The Trust and Society Acts also requires the EC to be responsible for the preparation of accounts at the end of each financial year and to ensure that these give true and fair view. The Executive Committee are responsible for ensuring that suitable accounting records are kept which disclose the financial position of the trust and enable them to ensure that the accounts comply with the trust and society acts. They are also responsible for safeguarding the assets of the trust and for taking reasonable steps for the prevention and detection of fraud and other irregularities.




Our Partners in Development

Sr. No. Partners Name
1 AEI Luxembourg
2 Department for International Development – DFID
3 Global Fund for Women
4 Kshetriya Gramin Financial Services - Dvara KGFS
5 Mahila Aarthik Vikas Mahamandal – MAVIM
6 Mahila Kisan Adhikar Manch – MAKAAM
7 National Bank for Agriculture & Rural Development – NABARD
8 Paul Hamlyn Foundation – PHF
9 SWISSAID, India
10 Terre Des Hommes – TDH
11 UNICEF, India
12 Women & Child Welfare Department – WCD
13 Rebuild India
14 European Union

Registration Details

Gramin Mahila Vikas Sanstha is a non-profit and non-government organization registered under the Societies Registration Act 1860. Founded in the year 1996, GMVS is also registered under foreign contribution and income tax acts.


Trust Registration : F-4807 (Latur), Date – 10 July, 1996
Societies Registration : MAH/6757/Latur, Date – 10 Oct. 1996
FCRA Registration : 083910065, Date – 23 July, 2002
Income Tax Exemption (80G) : AAAJG0772BF20211
Income Tax 12 A : AAAJG0772BE20163
Income Tax Permanent Account (PAN) : AAAJG0772B
CSR Registration : CSR00008152